Параметры защищенности древесины ГОСТ 20022.0-93
Параметрами, определяющими уровень защищенности древесины, являются величина поглощения, глубина проникновения пропитывающего вещества и равномерность его распределения в пропитываемой зоне. Регулирование поглощения при пропитке осуществляют либо изменением параметров режима процесса (его продолжительности, уровня давления), либо изменением концентрации пропитывающего раствора.
Контроль поглощения ведут различным образом в зависимости от способа пропитки. При автоклавной пропитке его определяют по изменению уровня жидкости в мернике, при панельной пропитке — по расходу жидкости в резервуаре-питателе с учетом стока в резервуар-сборник, а в некоторых случаях — взвешиванием вагонеток с лесоматериалами до и после пропитки. При диффузионной пропитке поглощение устанавливают либо расчетным путем, либо методами количественного анализа.
Глубину проникновения пропитывающего вещества и его распределение в сортиментах определяют по цвету древесины путем отбора проб из контрольных образцов пропитываемой партии лесоматериалов Пробы отбирают из заболони и ядра отдельно при помощи полого бура (рис. 1, а, б), имеющего внутренний диаметр 5...10 мм. При пропитке маслами пропитанная зона окрашивается самим антисептиком, глубина его проникновения определяется непосредственным измерением ширины окрашенной зоны.
Аналогичная картина наблюдается и при пропитке другими окрашивающими древесину антисептиками (например, хромосодержащими). В случае пропитки бесцветными веществами на поверхность пробы наносят индикаторы, дающие при взаимодействии с пропитывающим веществом цветные реакции. Например, в качестве индикатора на фтористый натрий и другие фторсодержащие антисептики используется цирконализариновый лак, индикатором на пентахлорфенолят натрия служит 10 % водный раствор медного купороса, а на пентахлорфеиол — его водно-ацетоновый раствор.
![]() |
Рис.1 Общий вид полого бура для взятия проб (с) и взятия пробы буром (б) |
Основные параметры защищенности древесины — глубина пропитки и величина общего поглощения, а при консервировании, кроме того, намечаемый срок службы — регламентируются стандартами и техническими условиями на изделия и сооружения, в которых используется пропитанная древесина. В частности, ГОСТ 20022.0—93 устанавливает для деревянных объектов параметры их защищенности от биоразрушений и вероятные сроки их службы в зависимости от класса условий службы, группы пропитываемости древесины, способа пропитки и вида антисептика (табл. 1).
Общее поглощение Р защитных средств в стандарте указано для сортиментов определенных размеров:
- для круглых лесоматериалов - диаметром 20 см и толщиной заболони 30 мм;
- для пиломатериалов толщиной 40 мм и более - поперечным сечением 180x220 мм;
- для пиломатериалов толщиной до 40 мм - поперечным сечением 22x110 мм.
Таблица 1 Примеры параметров защищенности лесоматериалов при консервировании (по ГОСТ 20022.0-93)
Класс условий |
Группа
|
Способ пропитки по ГОСТ 20022.6 |
Обоз- |
Общее поглощение |
Глубина |
Средний срок службы, лет |
||
ЛПЗ* |
ТПЗ* |
|||||||
Круглые лесоматериалы |
||||||||
XII |
1 |
ДДВ |
КМ |
90...120 11...15 13...15 |
85% 85% 85% |
- |
40...45 35...40 40....45 |
|
3 |
ддв-н** |
НМ-М |
11...15 |
глубина накола |
10 мм |
25. .30 |
||
XIII |
1 |
ДДВ |
КМ |
90 ..120 |
85% 85% 85% 85% |
- |
35...40 35...40 35...40 30...35 |
|
3 |
ДДВ |
КМ |
70...90 90... 130 |
- |
10 мм |
10..15 35...40 |
||
Пиломатериалы толщиной 40 мм и более |
||||||||
VIII |
|
ВДВ-Н |
ХМФ-БФ |
2...3 |
глубина |
- |
40...45 |
|
XIII*** |
|
ДВ-Н |
КМ |
100...140 |
глубина накола тоже |
- |
20...25 |
|
Пиломатериалы толщиной до 40 мм |
||||||||
ту**** |
1 |
ВДВ |
КФН |
1,5.. 2 |
8 мм |
— |
30...32 20...25 |
|
2-3 |
ВДВ |
ФБС-255 |
2,5...3 2...2,5 2,5...3,5 |
- |
2 мм 2 мм 2мм |
35..40 30...35 |
||
* ЛПЗ - легкопропитываемая зона (заболонь), ТПЗ - труднопропитываемая зона (ядро); |
||||||||
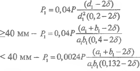
Для сортиментов других размеров проводится пересчет общего поглощения P1 по формулам:
| для круглых сортиментов - | ![]() |
1 |
| для пиломатериалов толщиной | 2 | |
| для пиломатериалов толщиной | 3 |
где d1 - средний диаметр пропитываемых сортиментов, м;
а, b1 - толщина и ширина сортиментов, подлежащих пропитке, м;
6 - заданная глубина пропитки, м.
На основании данных таблицы параметров защищенности для конкретных материалов и пересчитанных значений общего поглощения составляется техническое задание на проектирование пропиточной установки.
Пример 1. Определить способ пропитки, подобрать средство химической защиты и рассчитать его общее поглощение для деревянных деталей опор линий электропередачи диаметром 22 см, изготовляемых из древесины сосны с шириной заболони 25 мм, на срок службы 40...45 лет, эксплуатируемых в климатических условиях Центральных областей России (активный период 6 месяцев)
Опоры ЛЭП эксплуатируются в условиях XII класса службы. Древесина относится к группе 1 - легкопропитываемых пород. Для обеспечения требуемого срока службы этих опор 40...45 лет в табл. 1 находим, что возможно применить способ ДДВ, пропитывая опоры каменноугольным маслом (КМ), или способ ВДВ, применяя защитное средство ХМ-11.
Из экономических и экологических соображений принимаем в качестве защитного средства ХМ-11, а способ пропитки - «вакуум - давление - вакуум». Для эталонного материала общее поглощение составляет 13... 15 кг, а глубина пропитки 0,03-0,85 = 0,026 м Глубина пропитки для заданного материала равна 0,025-0,85 = 0,021 м (85% от толщины заболони) По формуле 1 находим общее поглощение для заданного материала:

Таким образом, для обеспечения срока службы 40....45 лет деталей опор заданной характеристики следует применить защитное средство ХМ-11, способ пропитки «вакуум - давление - вакуум», при общем поглощении препарата 12,9... 14,9 кг/м3
Пример 2. Определить способ пропитки, подобрать средство химической защиты и рассчитать его общее поглощение для шпал сечением 180x250 мм, изготовляемых из древесины лиственницы на срок службы 20...25 лет, эксплуатируемых в климатических условиях Южных областей России (активный период 12 месяцев).
Шпалы эксплуатируются в условиях XIII класса службы. Для обеспечения требуемого срока службы этих шпал 20...25 лет в табл. 1 находим, что возможно применить способ ДВ-Н, пропитывая шпалы каменноугольным маслом (КМ), или способ ВДВ-Н, применяя защитное средство ХМ-11. В том и другом случаях требуется провести накалывание шпал.
Учитывая, что шпалы, пропитанные солевым раствором, являются проводниками электрического тока и не могут использоваться на электрофицированных путях, применяем каменноугольное пропиточное масло (КМ) и способ пропитки ДВ-Н. Для эталонного бруса общее поглощение равно 100...140 кг/м3 при пропитке на глубину накола. В соответствии с ГОСТ 20022.3-75 глубина накола равна 15 мм, как для эталонного, так и заданного сортимента.
По формуле 2 находим общее поглощение для заданного материала:

Следовательно, для обеспечения срока службы 20...55 лет шпал заданной характеристики следует применить каменноугольное пропиточное масло, способ пропитки «давление - вакуум» с предварительным накаливанием (ДВ-Н), при общем поглощении масла 96...134 кг/м3.
Безопасность жизнедеятельности. Охрана окружающей среды
Некоторые из применяемых для защитной обработки древесины пропитывающих веществ при неосторожном обращении с ними могут быть вредными для здоровья соприкасающихся с ними людей. Поэтому очень важно соблюдение персоналом деревопропиточных цехов и участков определенных правил техники безопасности жизнедеятельности. Эти правила регламентируются инструкциями и стандартами на способы пропитки. Отметим основные из них.
Допускается использовать в промышленности пропитывающие вещества и препараты только разрешенные к применению органами здравоохранения РФ. Все закрытые помещения пропиточных участков должны иметь приточно-вытяжную вентиляцию и быть приспособленными для влажной уборки. Полы должны иметь уклон не менее 1:100 для надежного удаления пролитых жидкостей и промывочных вод.
Не разрешается работа с пропитывающими веществами без спецодежды, резиновых сапог или кожаных ботинок, комбинезонов, прорезиненных нли брезентовых фартуков, резиновых рукавиц или перчаток. На операциях, связанных с распылением сухих антисептиков или разбрызгиванием жидкостей, обязательно использование защитных очков и респираторов.
Большое значение для безопасности работ имеет соблюдение правил личной гигиены. Во время работы нельзя курить, принимать пищу, прикасаться, не сняв перчаток, к открытым участкам кожи. Перед едой необходимо тщательно вымыть лицо и руки теплой водой с мылом. После работы обязателен душ. При попадании пропитывающих веществ на кожу необходимо сразу смыть их теплой водой с мылом. При работе с маслами открытые участки кожи полезно покрывать тонким слоем пасты ХИОТ-6 или болтушкой из окиси цинка, талька, глицерина и дистиллированной воды, взятых поровну. Не рекомендуется работать с пропитывающими веществами, если на коже есть открытые царапины и ссадины.
При соблюдении этих правил и выполнении общих для всех промышленных предприятий мер предосторожности работа на пропиточных установках, как показала многолетняя практика, не представляет никакой опасности для обслуживающего их персонала.
В заключение остановимся кратко на экологическом аспекте процессов защитной обработки и консервирования древесины. С одной стороны, они имеют большое природоохранное значение, так как, продлевая сроки службы древесины в подверженных гниению и разрушению огнем сооружениях и в несколько раз уменьшая расход древесины на их возобновление, эти процессы сохраняют от вырубки значительные по площади лесные массивы.
С другой стороны, деятельность деревопропитывающих предприятий может наносить вред природе окружающих эти предприятия районов, если имеют место бесконтрольные сбросы технологических и промывочных сточных вод, содержащих токсичные вещества, непосредственно в реки, озера и другие природные водоемы. Это совершенно недопустимо. Все стоки от основного и вспомогательного пропиточного оборудования должны поступать на очистные сооружения предприятия или централизованные городские и районные очистные устройства. При выполнении этого требования неблагоприятные воздействия процессов пропитки на окружающую среду полностью исключаются.

